По договору аренды (имущества займа) арендодатель (наймодатель) обязуется предоставить арендатору (нанимателю) имущество за плату во временное владение и пользование или во временное пользование. Объектами аренды в соответствии с Гражданским кодексом могут быть переданы земельные участки и другие обособленные природные объекты, предприятия и другие имущественные комплексы, здания, сооружения, оборудование, транспортные средства и другие вещи, которые не теряют своих натуральных свойств в процессе их использования (неупотребляемые вещи).
Разобраться во всех тонкостях аренды земли или помещений Вам поможет
юрист, онлайн заказ Вы можете сделать на сайте: http://crimealawyers.com.
Договор аренды на срок более года, а если хотя бы одной из сторон договора является юридическое лицо, независимо от срока, должен быть заключен в письменной форме.
Эта форма приобретает все большее распространение на крупных предприятиях металлургического комплекса.
Одним из наиболее эффективных видов аренды в настоящее время, который может найти широкое распространение в металлургии – является финансовая аренда, т.е. лизинг.
Для развития аренды в металлургической промышленности необходимо создание условий учитывающих особенности отросли. Как показывает опыт лизинговая компания с трудом предоставляет металлургическое оборудование в лизинг, поскольку при невыплаты лизинговых платежей его трудно реализовать. Следовало бы создавать специальные фонды и установить для лизинговых платежей (металлургических предприятий) более длительные сроки возврата средств за оборудование.
Мешает развитию лизинга двойное налогообложение дорогостоящего оборудование НДС - м при приобретении оборудования и при выплате платежей.
Наиболее распространенный метод, используемый для расчета стоимости аренды, представляет собой подсчет разницы между величенной рыночной торговли и контрактной арендных плат и умножением на текущую стоимость на текущую стоимость единичного аннуитета (математический показатель, указывающий текущую стоимость за определенный потока прибыли, которую генерирует один рубль прибыли за определенный период времени, что умножается на число временных отрезков), взятую из таблиц сложных процентов и отражают соответствующую рыночную ставку процента для оцениваемого имущества. Также оценщик может использовать таблицы доходности арендованного имущества или финансовый калькулятор.
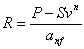
Расчеты. Стоимость арендной платы устанавливается договором. Арендные платежи за год рассчитываются по формуле:

,где
R – размер годовой арендной платы.
P – стоимость оборудования, сдавшего в аренду на n лет.
S – остаточная стоимость оборудования (в конце срока аренды).
anf – коэффициент приведение годовой постоянной ренты.
V – дисконтный множитель.
i – принятый норматив доходности.
Формула:
АП = S х Бап х Киз х Км х Кт х Кз х Кнж х Ки х Кд
Кнж = K1 + K2 + K3 + K4
АП – арендная плата без учета НДС
НДС – налог на добавленную стоимость, составляет 20 %
S – площадь, кв. м.
Бап – базовая ставка арендной платы, руб./1кв. м. в год.
Киз – коэффициент износа
Км – коэффициент качества материала строения
Кз – коэффициент, учитывающий территорию зону расположения арендуемого объекта
Кнж – коэффициент качество жилого помещения
Ки – коэффициент удобства использования
Кд – коэффициент вида деятельности
К1 – коэффициент размещение помещения
К2 – коэффициент степени технического обустройства
К3 – коэффициент использования прилегающей территории
К4 – коэффициент средней высоты потоков.
АП = 20 х 120000 х 0,6 х 1,5 х 1,0 х 0,8 х 0,84 х 2 х 1 = 2903040
НДС = 580608 руб.
Арендная плата составляет 3483648 руб.
По мнению экспертов, среди которых 20 наиболее уважаемых ведущих экономистов Великобритании, подобные меры сродни стрельбе из пушки по воробьям. Богатые подданные Великобритании все чаще вынуждены выводить доходы из страны....
Ранее считали, когда инвесторы покидают риски, швейцарский франк укрепляется, а когда инвесторы переводят деньги в сырье, канадский и австралийский доллары крепнут. Но сейчас все три валюты проявляют рост по отношению к доллару США и евро....
Все прекрасно знают, что лет семь назад было введено обязательное страхование автогражданской ответственности. В принципе, это являлось вполне логичным шагом, смысл которого - упростить отношения между водителями, попавшими в дорожно-транспортное происшествие и владельцами www.hire-auto.biz....